• Предмет: Алгебра
  • Автор: maxegorov058
  • Вопрос задан 8 лет назад

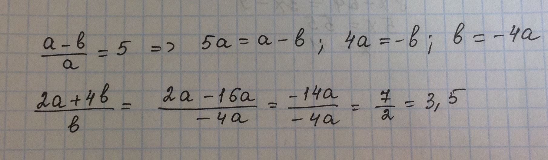
Известно что (a-b)a=5. Найдите значение выражения (2a+4b)b

Ответы

Ответ дал: maksimcat
0

Ответ на фото/////////////////

Приложения:
Ответ дал: mmb1
0

(a - b)/a = 5

a/a - b/a = 5

1 - b/a = 5

b/a = -4

a/b = -1/4

(2a + 4b)/b = 2*a/b + 4b/b = 2*(-1/4) + 4 = -1/2 + 4 = 3 1/2 = 3.5

Приложения:
Вас заинтересует