• Предмет: Математика
  • Автор: Disandread
  • Вопрос задан 8 лет назад

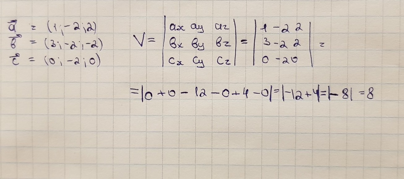
Вычислить объем параллелепипеда

Приложения:

Ответы

Ответ дал: Miroslava227
0
решение на фотографит
Приложения:
Ответ дал: Disandread
0
Да я уже сам, но все равно спасибо
Вас заинтересует