• Предмет: Алгебра
  • Автор: nikshirokov1993
  • Вопрос задан 8 лет назад

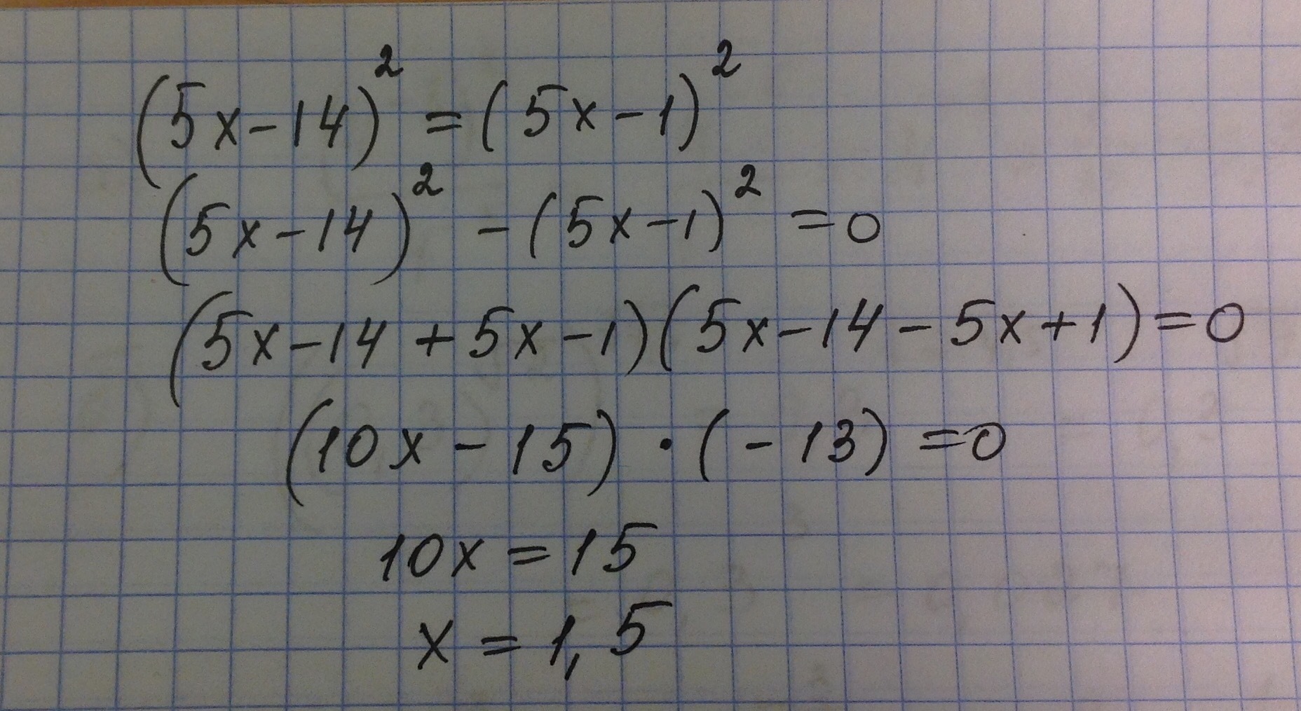
решите уравнение (5х-14)^2=(5х-1)^2

Ответы

Ответ дал: batirgireevasau1
0

Вот, пожалуйста, обращайтесь

Приложения:
Ответ дал: mmb1
0
195/130 - чему равно ???????
Ответ дал: batirgireevasau1
0
Равно 3/2
Ответ дал: batirgireevasau1
0
Мы сократили на 65
Ответ дал: batirgireevasau1
0
И ответ 3/2
Ответ дал: maksimcat
0

Ответ на фото//////////////

Приложения:
Вас заинтересует