Ответы
Ответ дал:
0
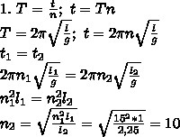
помогите вывести из формулы все компоненты
t : = 2pisqrt{ frac{l}{g} }
Приложения:

Вас заинтересует
2 года назад
9 лет назад