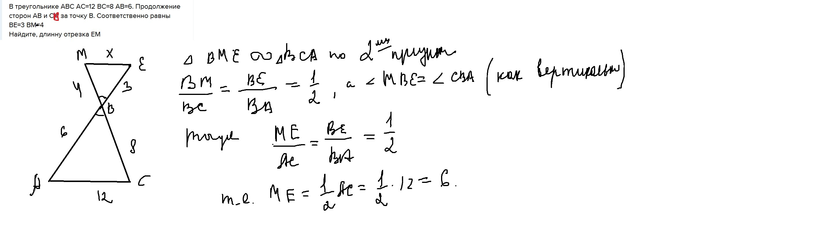
в треугольнике ABC AC=12 BC=8 AB=6. Продолжение сторон AB и СИ за точку B. Соответственно равны BE=3 BM=4
Найдите, длинну отрезка ЕМ
Ответы
Ответ дал:
0
в треугольнике ABC AC=12 BC=8 AB=6. Продолжение сторон AB
Приложения:

Вас заинтересует
2 года назад
2 года назад
3 года назад
3 года назад
9 лет назад
9 лет назад