• Предмет: Алгебра
  • Автор: asyaklimenko03
  • Вопрос задан 8 лет назад

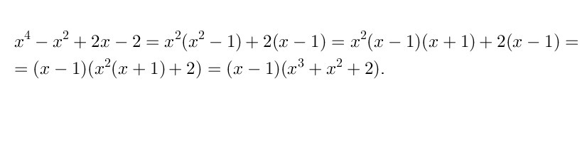
Разложите на неприводимые множители:
x^4-x^2+2x+2

Ответы

Ответ дал: genius20
0

.....................................................

Приложения:
Вас заинтересует