• Предмет: Математика
  • Автор: kplotnikova473
  • Вопрос задан 8 лет назад

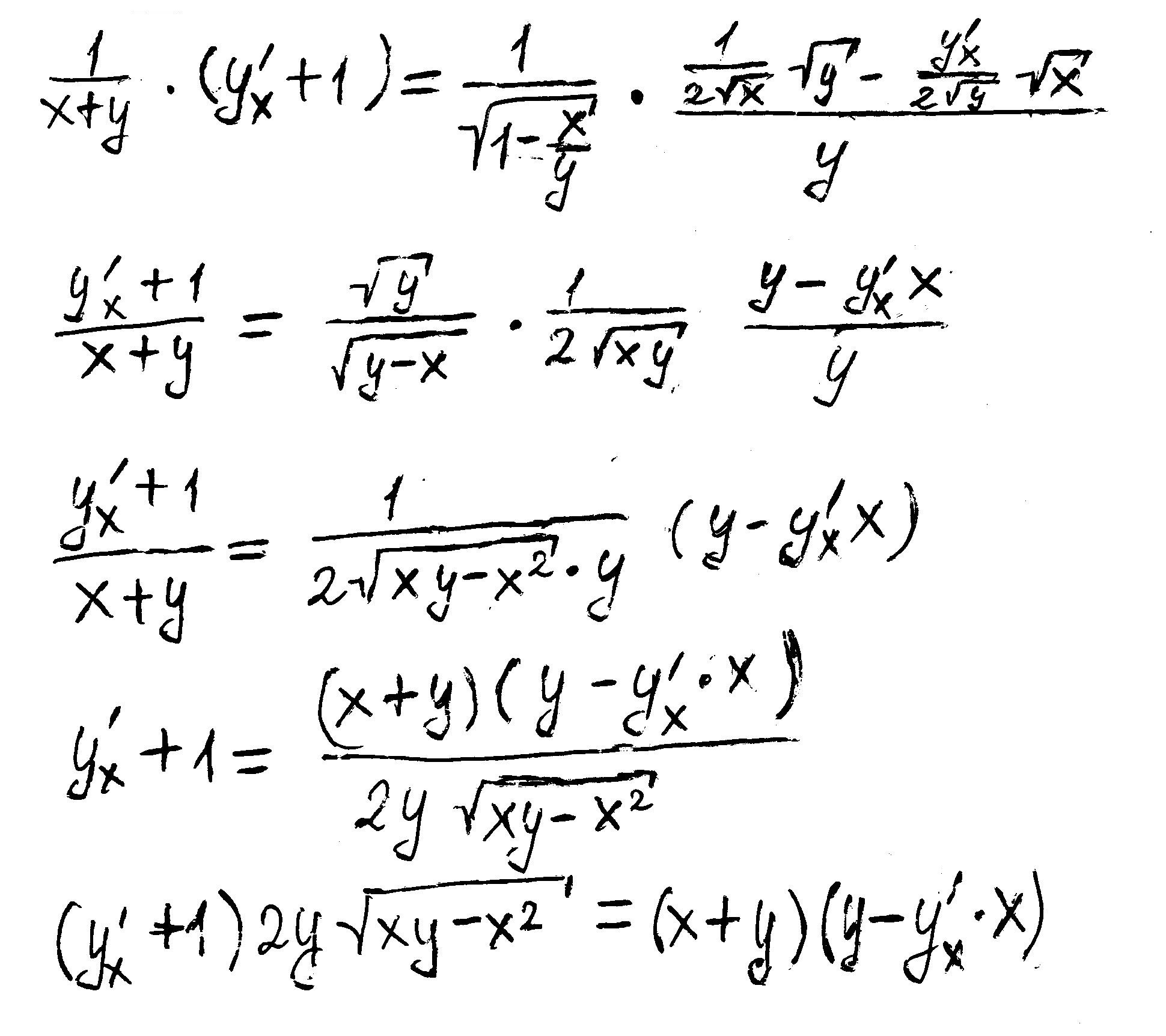
Найти прозводную:
Ln(x+y)=arcsin(корень из x/y)

Ответы

Ответ дал: bearcab
0

Ответ:

(y'_x+1)*2ysqrt{xy-x^2}=(x+y)*(y-y'_x*x)

Пошаговое объяснение:

Решение в приложении

Приложения:
Ответ дал: kplotnikova473
0
А в знаменателе разве не должен быть y^2?
Ответ дал: bearcab
0
так там же корень из у
Вас заинтересует