• Предмет: Математика
  • Автор: jou85321
  • Вопрос задан 8 лет назад

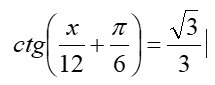
помогите пожалуйста, срочно надо на завтра

Приложения:

Ответы

Ответ дал: mostvit
0

Ответ: x=2pi+-12npi


Пошаговое объяснение:

arcctg(√3/3)=pi/3+-npi

x/12 + pi/6 = pi/3 +- npi =>

x+2pi=4pi+-12npi => x=2pi+-12npi

(pi - это число пи; n=0; +-1; +-2; +-3...)

Вас заинтересует