Ответы
Ответ дал:
0
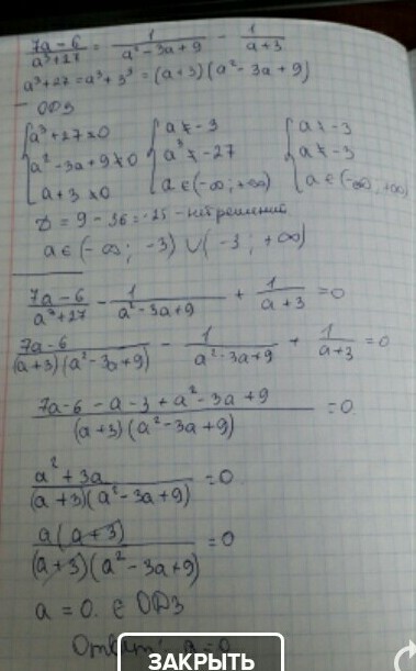
общий знаменатель,но обязательно ОДЗ.
Приложения:

Ответ дал:
0
вот это решай и пиши
Приложения:

Вас заинтересует
2 года назад
2 года назад
9 лет назад
9 лет назад
9 лет назад
9 лет назад