• Предмет: Математика
  • Автор: ivchenkov1002
  • Вопрос задан 8 лет назад

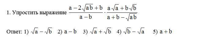
помогите математика 11 класс

Приложения:

Ответы

Ответ дал: Bena2019
0

Ответ:


Пошаговое объяснение:


Приложения:
Ответ дал: ivchenkov1002
0
помоги еще
Ответ дал: Bena2019
0
Давай
Ответ дал: ivchenkov1002
0
https://znanija.com/task/31336086?answering=true&answeringSource=feedPersonal%2FquestionPage
Вас заинтересует