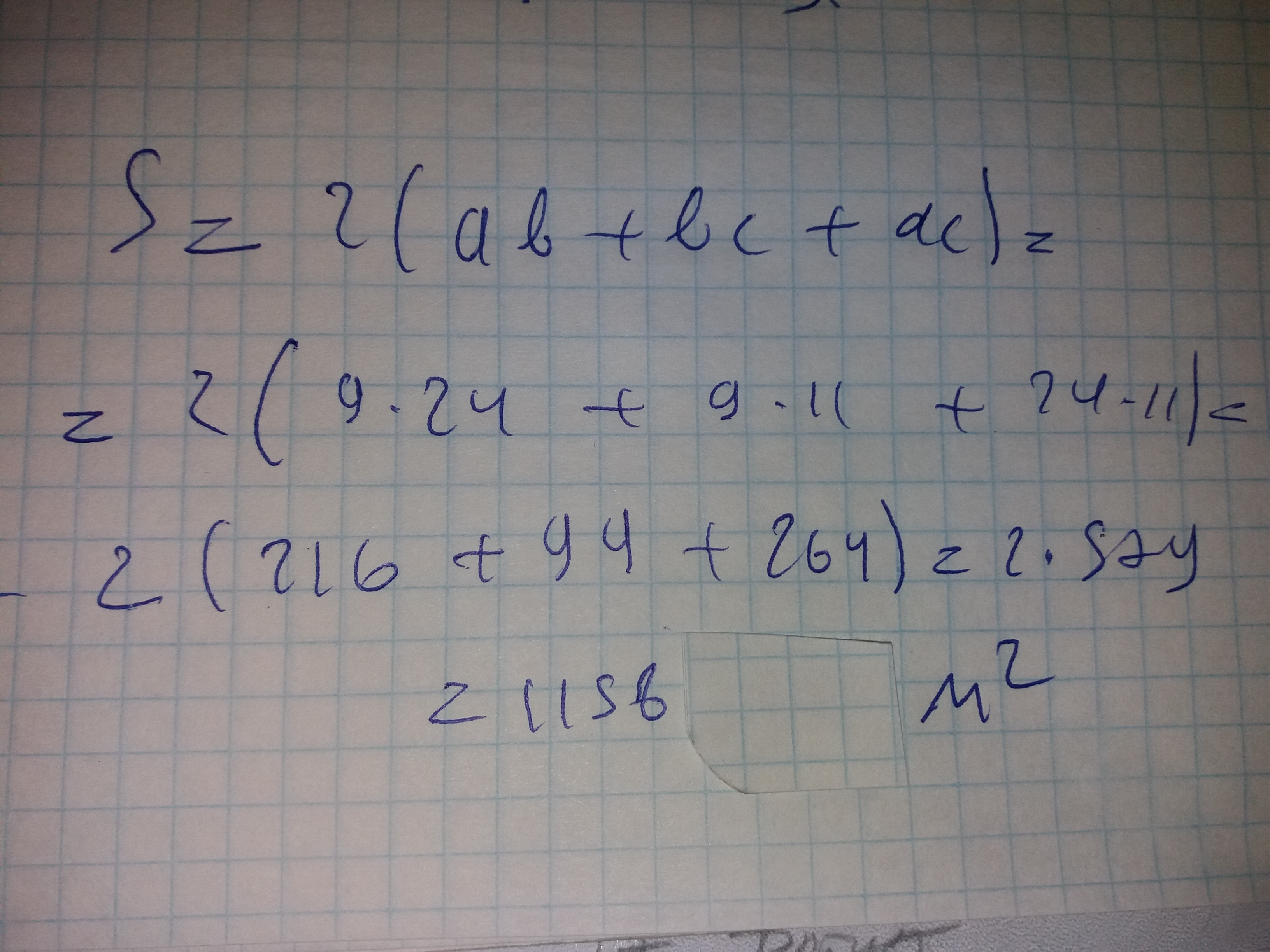
Найдите площадь поверхности прямоугольного параллелепипеда, измерения которого равны 9м, 24 М, 11 м.
Ответы
Ответ дал:
0
Ответ:
Пошаговое объяснение:
Приложения:

Вас заинтересует
2 года назад
2 года назад
3 года назад
3 года назад
9 лет назад
9 лет назад
9 лет назад