при каких значениях x значение многочлена равно нулю:
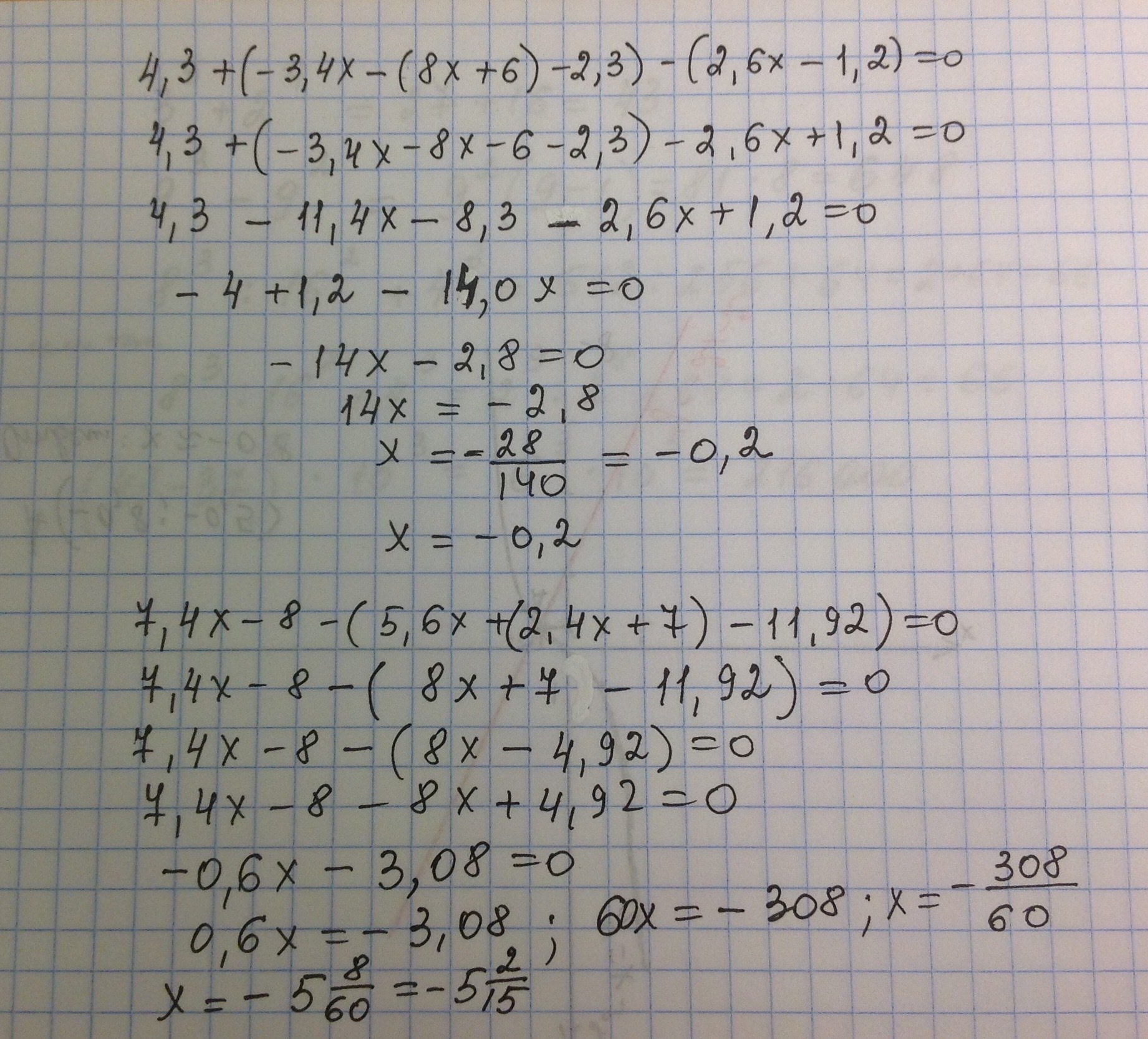
а) 4,3+(-3,4x-(8x+6)-2,3)-(2,6x-1,2)
б) 7,4x-8-(5,6x+(2,4x+7)-11,92)
Даю 56 баллов
Ответы
Ответ дал:
0
Ответ на фото//////////////
Приложения:

Вас заинтересует
2 года назад
2 года назад
3 года назад
3 года назад
8 лет назад
9 лет назад