Ответы
Ответ дал:
0
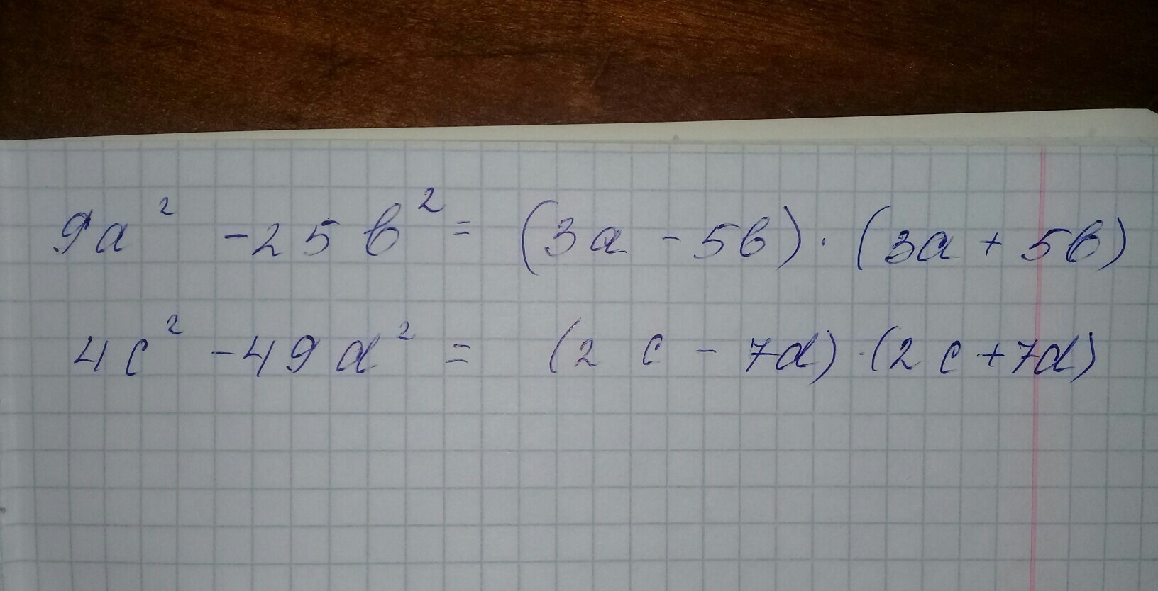
Если и в 1 случае после 25 у тебя было b^2,то тогда всё правильно выполнено
Приложения:

Вас заинтересует
2 года назад
3 года назад
3 года назад
8 лет назад
8 лет назад