• Предмет: Математика
  • Автор: kapitan22
  • Вопрос задан 8 лет назад

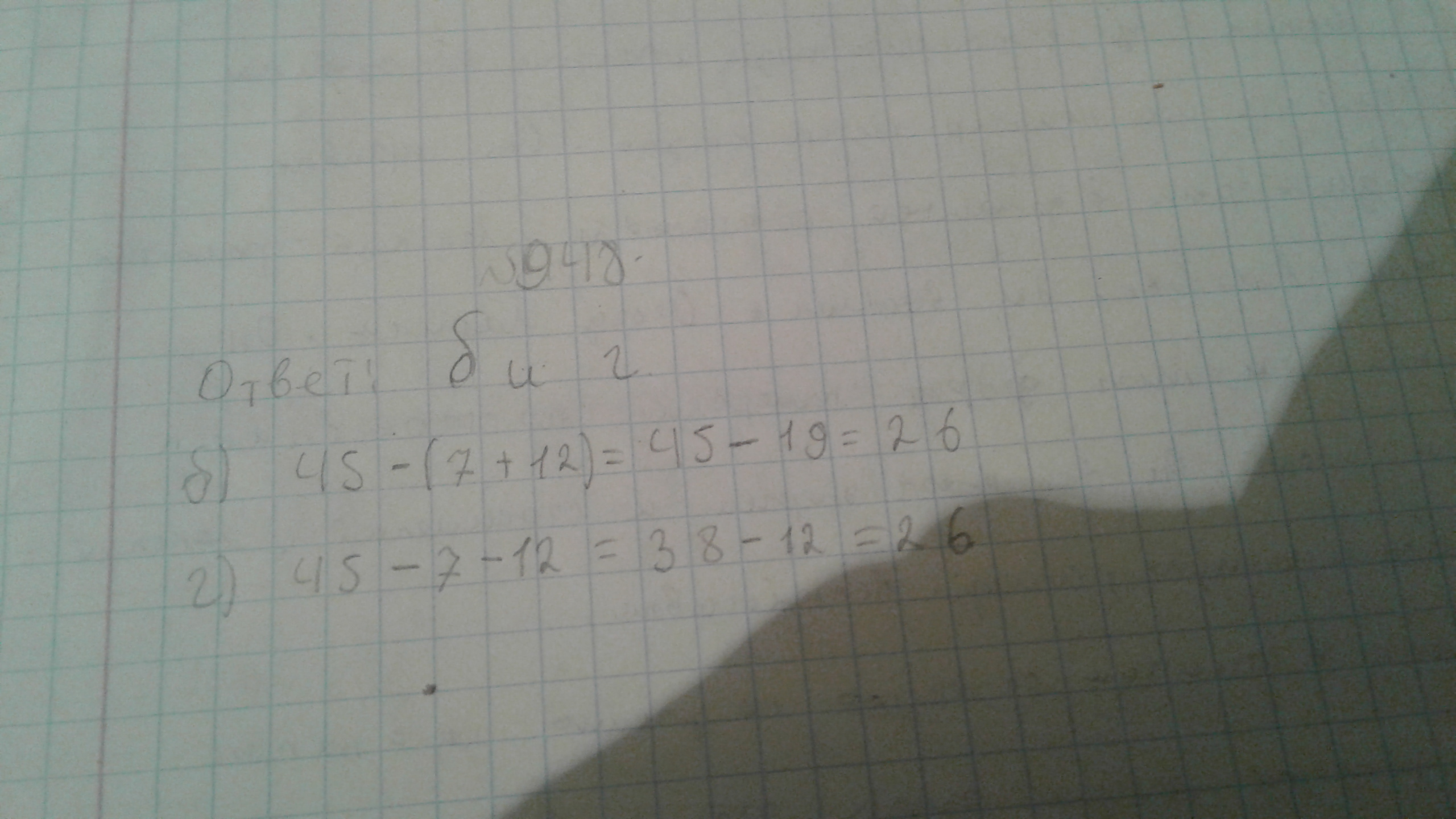
948 помогите пожалуйста

Приложения:

Ответы

Ответ дал: mxaku
0

Ответ:


Пошаговое объяснение:


Приложения:
Вас заинтересует