Ответы
Ответ дал:
0
Ответ:
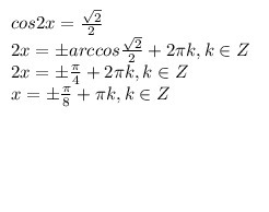
Пошаговое объяснение:
Приложения:

Ответ дал:
0
Спасибо, а что это за приложение?
Ответ дал:
0
Это шрифты,пишу в Paint
Ответ дал:
0
или в блокноте))
Ответ дал:
0
понятно
Ответ дал:
0
;)
Вас заинтересует
2 года назад
2 года назад
3 года назад
9 лет назад
9 лет назад
9 лет назад
9 лет назад