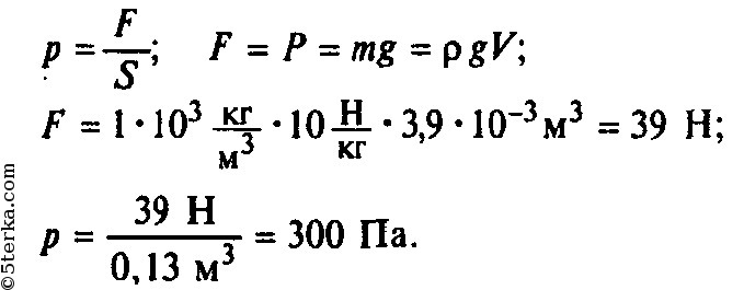
Площадь дна кастрюли равна 1300 см2. Вычислите, на сколько увеличится давление кастрюли на стол, если в нее налить воду объемом 3,9 л.
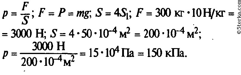
Токарный станок массой 300 кг опирается на фундамент четырьмя ножками. Определите давление станка на фундамент, если площадь каждой ножки 50 см2.
C Дано , Найти , СИ , Решение и ответом.
Ответы
Ответ дал:
0
две первых решения от первой задачи, а другие на 2 задачу
Приложения:
Вас заинтересует
2 года назад
2 года назад
3 года назад
3 года назад
9 лет назад
9 лет назад
10 лет назад
10 лет назад