Ответы
Ответ дал:
0
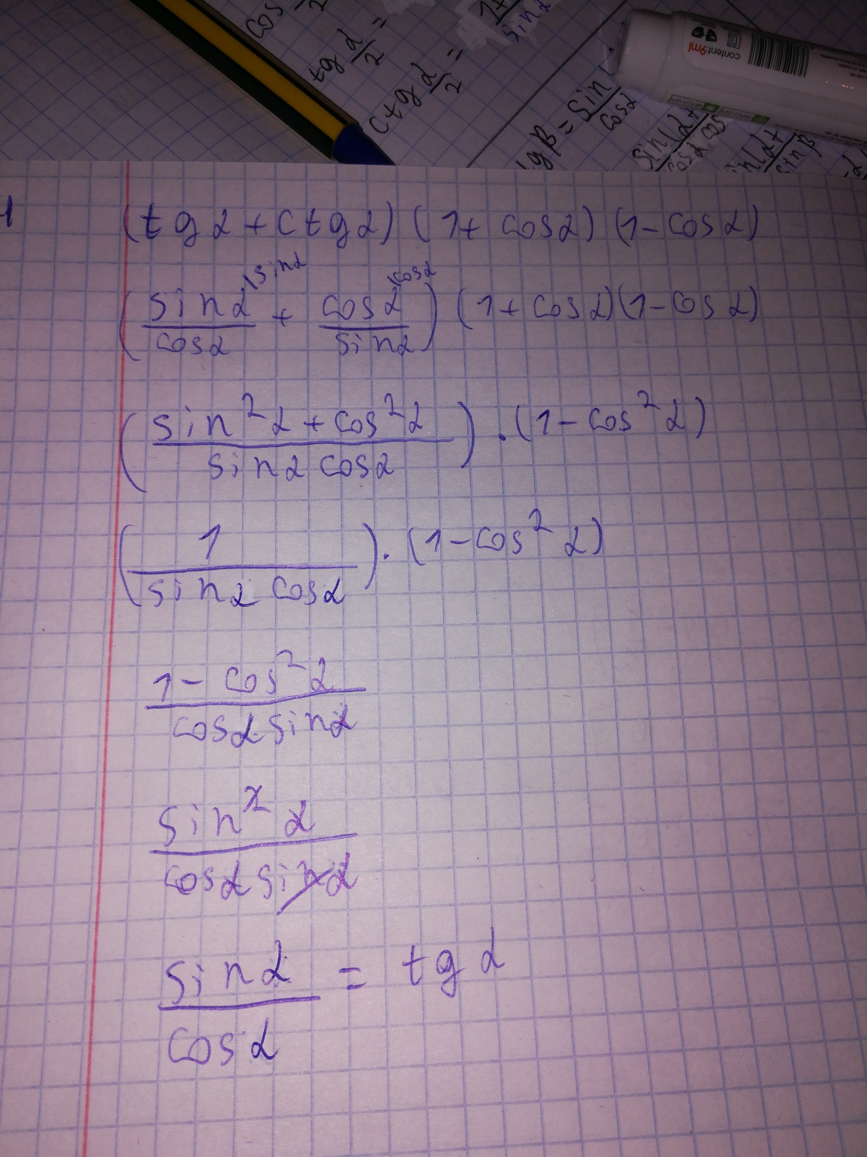
Ответ на фото.
Сначала расписываем что такое тангенс, котангенс, далее находим общий знаменатель после того, как распишем тангенс, котангенс, потом перемножаем скобку где косинусы (здесь формула сокращенного уумножения). Если будут вопросы - задавайте
Приложения:

Вас заинтересует
2 года назад
2 года назад
3 года назад
3 года назад
9 лет назад