• Предмет: Математика
  • Автор: chmobolotnoe
  • Вопрос задан 8 лет назад

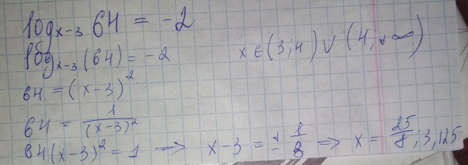
помогите решить log_{x-3}64=-2

Ответы

Ответ дал: ChiStS
0
Ответ 3.125.
Решение в приложении)
Приложения:
Вас заинтересует