• Предмет: Алгебра
  • Автор: Гений1от1бога
  • Вопрос задан 8 лет назад

помогите решить пожалуйста. с подробным объяснением

Приложения:

Ответы

Ответ дал: maksimcat
0

5

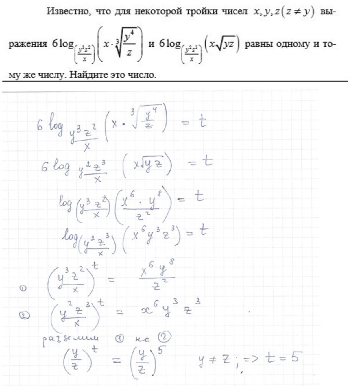
Ответ на фото/////////////////////

Приложения:
Ответ дал: Гений1от1бога
0
спасибо
Вас заинтересует