Ответы
Ответ дал:
0
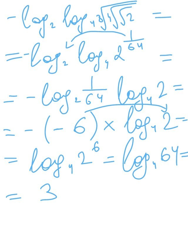
log(2)log(4)(⁴√√2)^1/8=
log(2)log(2²)2^(1/64)=
log(2)(1/2*1/64)=log(2)(1/128)=
log(2)(2^(-7))=-7
log(2)log(2²)2^(1/64)=
log(2)(1/2*1/64)=log(2)(1/128)=
log(2)(2^(-7))=-7
Ответ дал:
0
.........................
Приложения:
Вас заинтересует
2 года назад
2 года назад
3 года назад
3 года назад
9 лет назад
10 лет назад