• Предмет: Алгебра
  • Автор: fedorput
  • Вопрос задан 8 лет назад

Дам 25 б.
Решите уравнения:
a) - 4х(х-3) + (2х+5)² = - 39
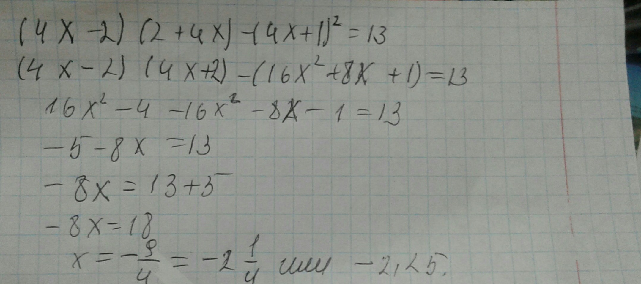
б) (4х - 2)(2+4х) - (4х +1)² =13

Ответы

Ответ дал: shaxrizoda12384
0
Otvet na risunke.......
Приложения:
Вас заинтересует