• Предмет: Алгебра
  • Автор: TuttiFrutti07
  • Вопрос задан 8 лет назад

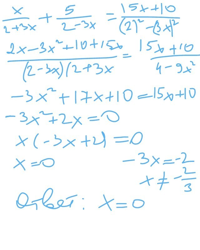
СРОЧНО, ДАМ 20 БАЛЛОВ
решите пожалуйста 4 и 6 квадратные уравнения
с системой, без ОЗ, главное чтобы все правильно было

Приложения:

Ответы

Ответ дал: svetlanapark13
0
.....................
Приложения:
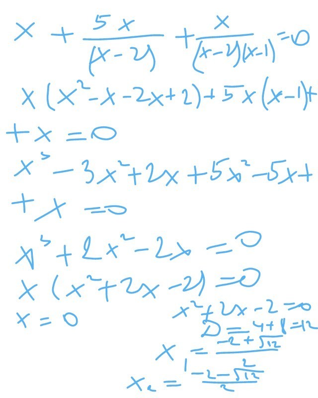
Ответ дал: TuttiFrutti07
0
Спасибо огромное, а 6?
Вас заинтересует