• Предмет: Алгебра
  • Автор: лшкуумф6899
  • Вопрос задан 8 лет назад

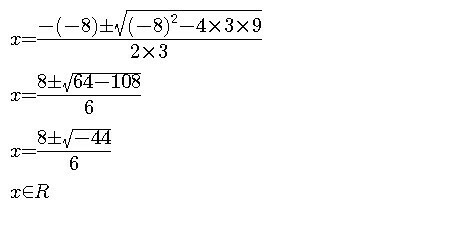
Решить уравнение 3x^2-8x+9=0

Ответы

Ответ дал: Аноним
0

Решение смотрите в приложении.

Приложения:
Вас заинтересует