• Предмет: Математика
  • Автор: 3664647474hhhhh
  • Вопрос задан 8 лет назад

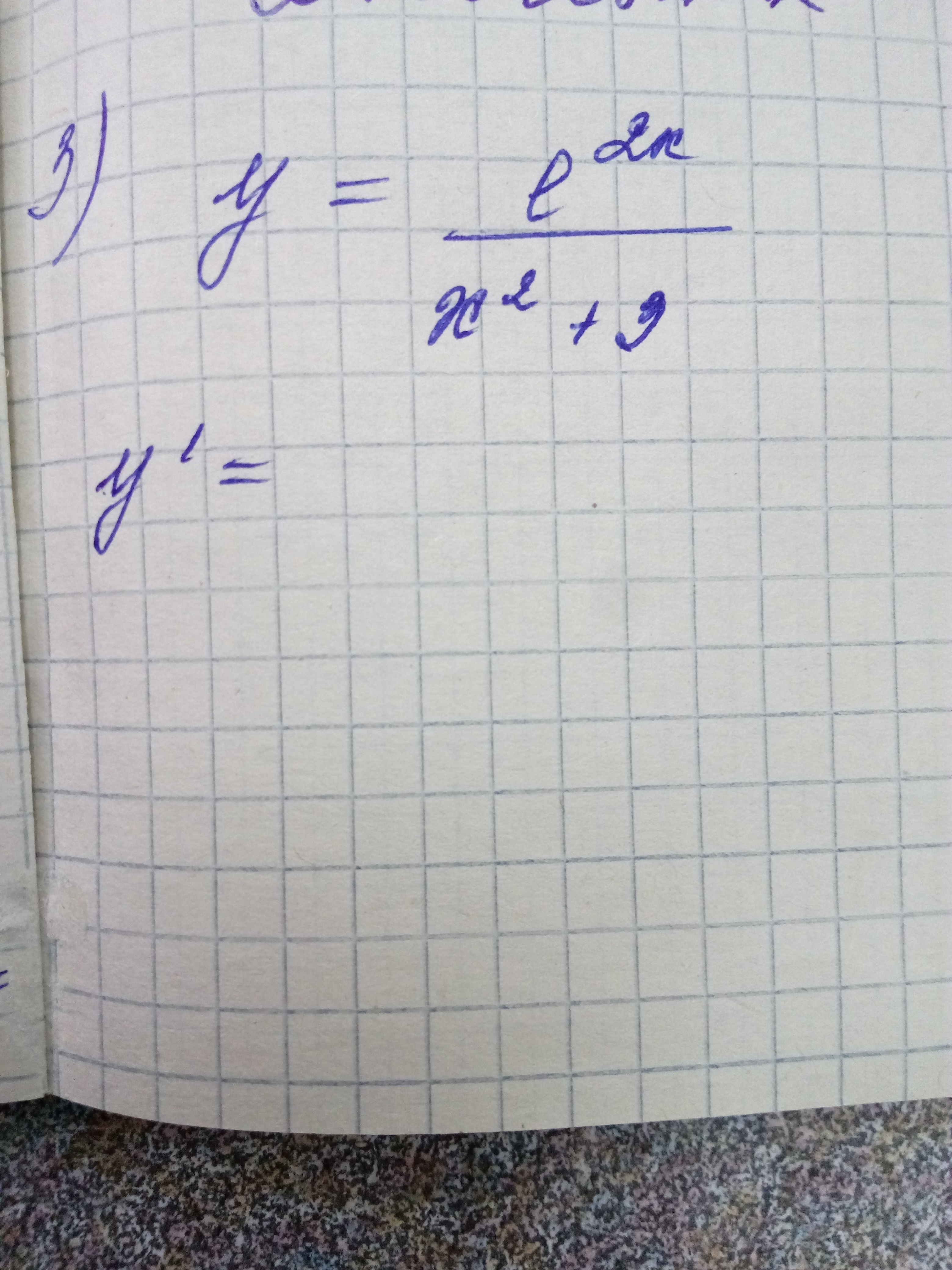
Решить производную с подробным решением уровнения
Помогите пожалуйста

Приложения:

Ответы

Ответ дал: Dirk0ne
0

Ответ:


Пошаговое объяснение:


Приложения:
Вас заинтересует