• Предмет: Алгебра
  • Автор: Actorishko
  • Вопрос задан 8 лет назад

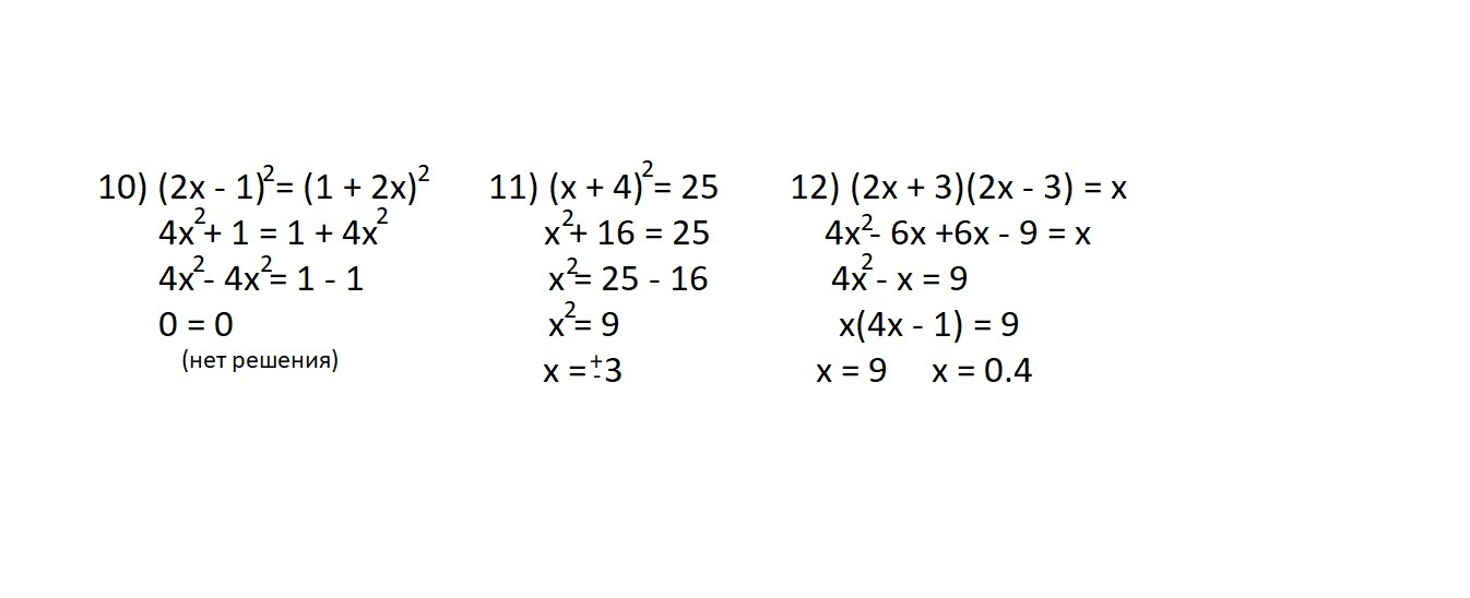
Решите срочно эти 3 уравнения пожалуйста!!!

Приложения:

Ответы

Ответ дал: ksdaga
0

..............................

Приложения:
Ответ дал: Actorishko
0
Спасибо, хоть уже поздно..
Ответ дал: ksdaga
0
пожалуйста)))
Вас заинтересует