• Предмет: Математика
  • Автор: Tyk69
  • Вопрос задан 8 лет назад

Логарифмические уравнения - самое страшное, что я когда-либо видел, просто помогите

Приложения:

Ответы

Ответ дал: GeniusEnstein
0

Ответ:

а) (4;5]

Пошаговое объяснение:

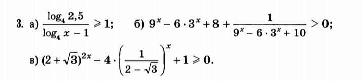
3.а)

Приведём к общему знаменателю:

frac{log_{4}{2,5}-log_{4}{x}+log_{4}{2,5}+1}{log_{4}{x}-1}geq0 Leftrightarrow frac{log_{4}{(frac{5}{2}cdotfrac{5}{2})}-log_{4}{x}+1}{log_{4}{x}-1}geq0 Leftrightarrow frac{log_{4}{frac{5}{4} }-log_{4}{x}+1}{log_{4}{x}-1}geq0 Leftrightarrow frac{log_{4}{5}-log_{4}{4}-log_{4}{x}+1}{log_{4}{x}-1}geq0 Leftrightarrow frac{log_{4}{x}-log_{4}{5}}{log_{4}{x}-1}leq 0

Ограничения на логарифмы:

x>0

frac{x-5}{x-4}leq 0 Leftrightarrow x in (4;5]

Думаю подробно расписал

P.S. в пункте б) необходимо взять 9^{x}-6cdot3^{x}+8=y, после чего неравенство приводится к виду y+frac{1}{y+2}>0

в пункте в) необходимо решить квадратное неравенство относительно y^2-4y+1geq0; y=2+sqrt{3}

Ответ дал: Tyk69
0
Добрейший человек, спасибо
Вас заинтересует