Ответы
Ответ дал:
0
Ответ:
Пошаговое объяснение:
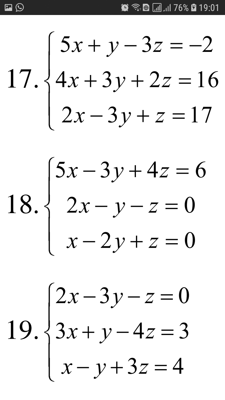
Из 2-ого уравнения получаем, что z = 2x - y
Далее подставляем значение z в 3-ее уравнение:
x - 2y + 2x - y = 0
3x - 3y = 0
3x = 3y
x = y
Подставим значение z и x в 1-ое уравнение:
5x - 3y + 4*2x - 4*1y = 6
5x - 3y +8x - 4y = 6
13x - 7y = 6
13y - 7y = 6
6y = 6
y=1, следовательно:
x = y = 1
z = 2x - y = 2 - 1 = 1
Ответ: x = 1; y = 1; z = 1
Ответ дал:
0
5x-3y+4z=6
2x-y-z=0
x-2y+z=0
5x-3y+4z=6
x=1/2y + 1/2z
x-2y+z=0
5(1/2y+1/2z)-3y+4z=6
1/2y+1/2z-2y+z=0
-y+13z=12
-3y+3z=0
-y+13z=12
y-z=0
12z=12
z=1
-3y+3•1=0
y=1
x=1/2•1+1/2•1
x=1
Ответ: x=1, y=1, z=1
2x-y-z=0
x-2y+z=0
5x-3y+4z=6
x=1/2y + 1/2z
x-2y+z=0
5(1/2y+1/2z)-3y+4z=6
1/2y+1/2z-2y+z=0
-y+13z=12
-3y+3z=0
-y+13z=12
y-z=0
12z=12
z=1
-3y+3•1=0
y=1
x=1/2•1+1/2•1
x=1
Ответ: x=1, y=1, z=1
Вас заинтересует
2 года назад
2 года назад
3 года назад
9 лет назад
10 лет назад