• Предмет: Алгебра
  • Автор: 111111DA
  • Вопрос задан 8 лет назад

Срочно!
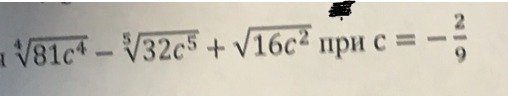
Вычислить значение выражения:

Приложения:

Ответы

Ответ дал: deadqueen7
0
4^√81с⁴-5^√32с^5-√16с²=3с-2с+4с=5с
5*(-2/9)=-10/9=-1 1/9
Вас заинтересует