• Предмет: Алгебра
  • Автор: Vladclohko
  • Вопрос задан 8 лет назад

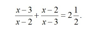
Решите уравнения и Найдите корни уравнения:

Приложения:

Ответы

Ответ дал: русикун
0
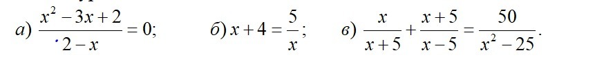
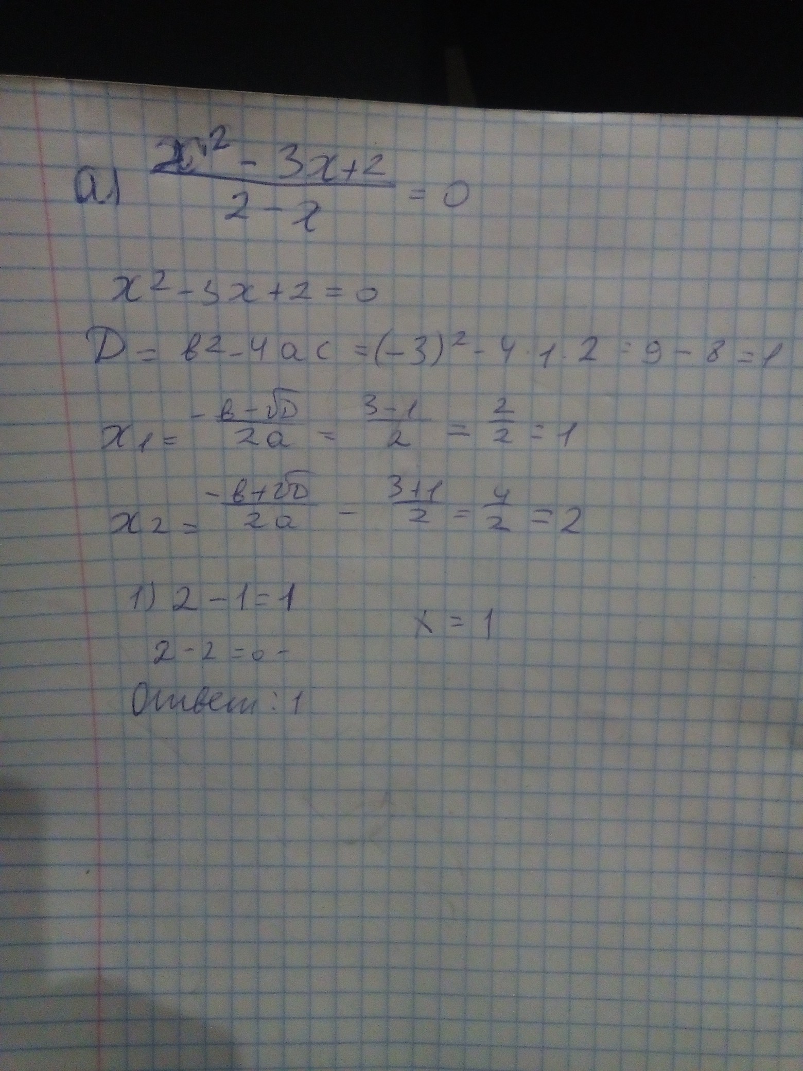
это а и б.. и в.......

........
Приложения:
Ответ дал: Vladclohko
0
а остольное?
Ответ дал: русикун
0
сейчас
Ответ дал: русикун
0
это всё?
Ответ дал: Vladclohko
0
Да
Вас заинтересует