• Предмет: Математика
  • Автор: svsnit
  • Вопрос задан 8 лет назад

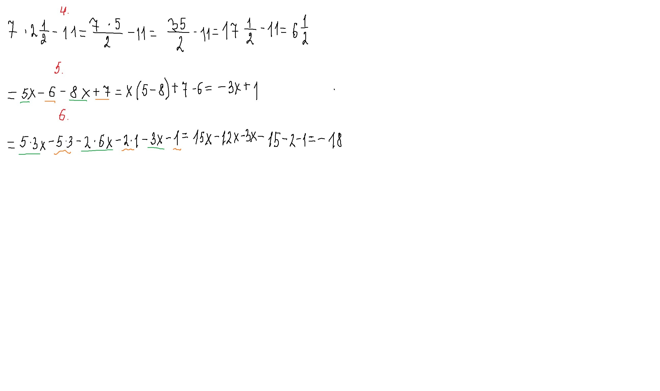
НОМЕРА 4 5 6
помогите пж

Приложения:

Ответы

Ответ дал: parus77
0

Ответ:

решение смотри внизу

если перед скобками стоит знак "-" то слагаемые,стоящие в скобках изменяют свой знак на противоположный.



Приложения:
Вас заинтересует