• Предмет: Химия
  • Автор: alzhanzhak0909
  • Вопрос задан 8 лет назад

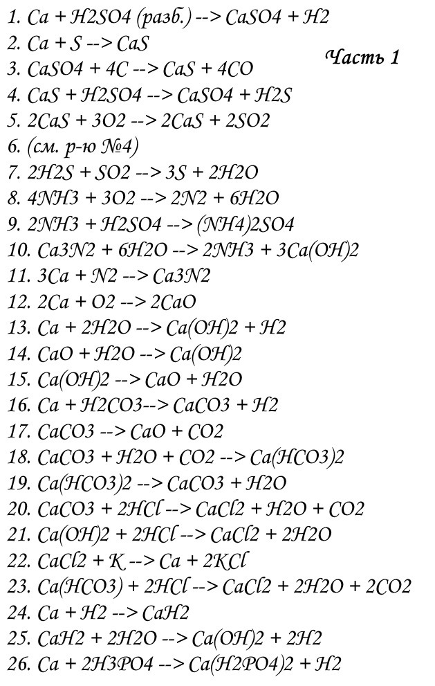
Цепочка из 44 действий

Помогите пожалуйста
Даю 39 баллов

Приложения:

Ответы

Ответ дал: VipPhoenixVip
0

Ответ во вложении........


Приложения:
Ответ дал: VipPhoenixVip
0
Делаю ;)
Ответ дал: alzhanzhak0909
0
Спасибо тебе огромное
Ответ дал: VipPhoenixVip
0
Чем дальше, тем страшнее и сложнее реакция x}} За час управлюсь надеюсь )
Ответ дал: alzhanzhak0909
0
Ок жду спасибо тебе огромное
Ответ дал: VipPhoenixVip
0
Лови ;)
Вас заинтересует