• Предмет: Алгебра
  • Автор: drhg
  • Вопрос задан 8 лет назад

Решите задачу:
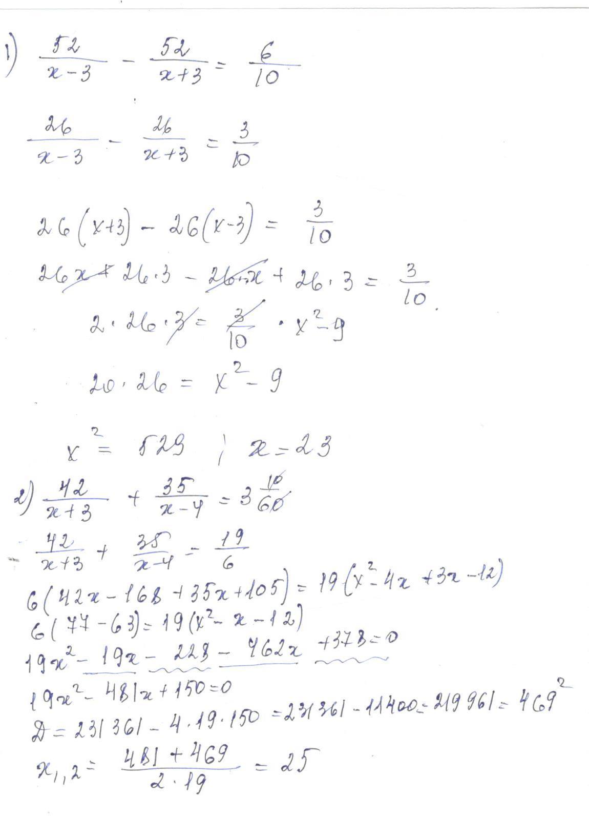
1. Теплоход прошел 52 км по течению реки и вернулся обратно, в пункт отправления. При этом обратный путь занял на 36 мин больше, чем путь вниз по реке. Найдите собственную скорость теплохода, если скорость течения реки равна 3 км/ч.

2.Теплоход прошел 42 км по течению реки, а затем 35 км против течения ее притока, затратив на весь путь 3 ч 10 мин. Найдите собственную скорость теплохода, если скорость течения реки равна 3 км/ч, а скорость течения притока равна 4 км/ч.

Ответы

Ответ дал: KjkfKthf
0

Решение в приложении

Приложения:
Ответ дал: drhg
0
что такое 6/10?
Ответ дал: KjkfKthf
0
понимаю, что поздно, но ... в задаче все в километрах и часах, а время 36 мин, переводим в часы - получается 36/60 часа, сократили на 6 - получили 6/10
Вас заинтересует