• Предмет: Алгебра
  • Автор: Аноним
  • Вопрос задан 8 лет назад

прошууу у срочно надо даю 50 баллов

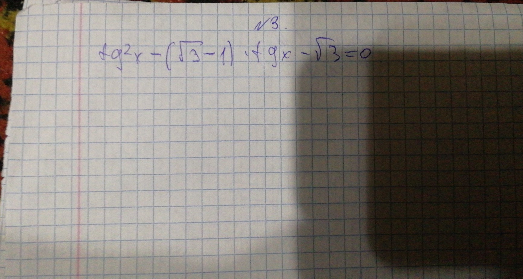
Приложения:

Ответы

Ответ дал: hote
0

displaystyle tg^2x-(sqrt{3}-1)tgx-sqrt{3}=0\\tgx=t\\t^2-(sqrt{3}-1)t-sqrt{3}=0\\D=(sqrt{3}-1)^2-4*(-sqrt{3})=(3-2sqrt{3}+1)+4sqrt{3}=\\=3+2sqrt{3}+1=(sqrt{3}+1)^2\\t_{1.2}=frac{(sqrt{3}-1)pm(sqrt{3}+1)}{2}\\t_1=frac{sqrt{3}-1+sqrt{3}+1}{2}=sqrt{3}\\t_2=frac{sqrt{3}-1-sqrt{3}-1}{2}=-1\\tgx=sqrt{3}; x=frac{pi }{3}+pi n; nin Z\\tgx=-1; x=-frac{pi }{4}+pi n; nin Z

Ответ дал: Аноним
0
огромное спасибо
Вас заинтересует