• Предмет: Математика
  • Автор: fiveletry
  • Вопрос задан 8 лет назад

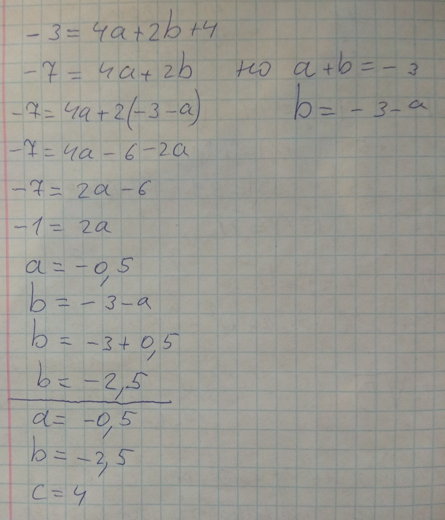
Помогите решить пожалуйста.

Приложения:

Ответы

Ответ дал: vershitelsudeb
0
Вопросы пиши в комментарии
Приложения:
Вас заинтересует