• Предмет: Химия
  • Автор: vasika090
  • Вопрос задан 8 лет назад

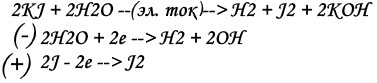
KJ+H20. Как решить реакцию электролиза

Ответы

Ответ дал: VipPhoenixVip
0

Ответ во вложении............

Приложения:
Вас заинтересует