• Предмет: Алгебра
  • Автор: alinaaleksandrova340
  • Вопрос задан 8 лет назад

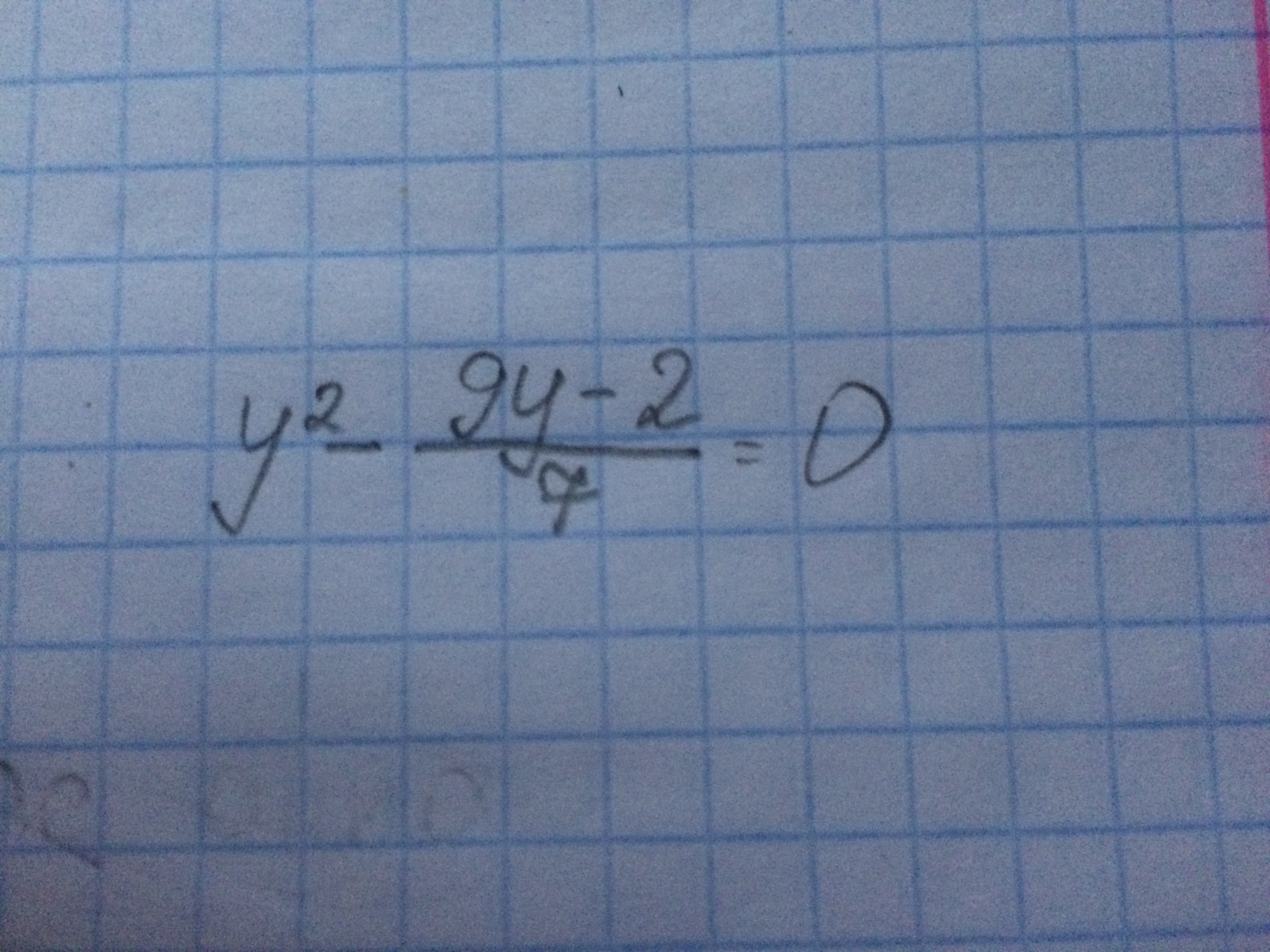
Определите значение у, при которых верно равенство

Приложения:

Ответы

Ответ дал: Universalka
0

y^{2}-frac{9y-2}{7}=0\\y^{2}*7-frac{9y-2}{7}*7=0*7\\7y^{2}-9y+2=0\\D=(-9)^{2}-4*7*2=81-56=25=5^{2}\\y_{1}=frac{9+5}{14}=1\\y_{2}=frac{9-5}{14} =frac{2}{7}

Ответ дал: maymr
0

здравствуй.

y^2-frac{9y-2}{7} =0\\y^2*7-frac{7(9y-2)}{7} =0\\7y^2-9y+2=0\D=(-9)^2-4*7*2\D=25\\x1=frac{9-5 }{14} \\x2=frac{9+5 }{14} \\x1=frac{2}{7} \\ x2=1

удачи в учёбе.

Вас заинтересует