• Предмет: Математика
  • Автор: dimmmas37
  • Вопрос задан 8 лет назад

ОЧЕНЬ СРОЧНО!!!!! РЕШИТЕ СИСТЕМУ УРАВНЕНИЙ

Приложения:

Ответы

Ответ дал: stasuan007
0

Ответ:


Пошаговое объяснение:

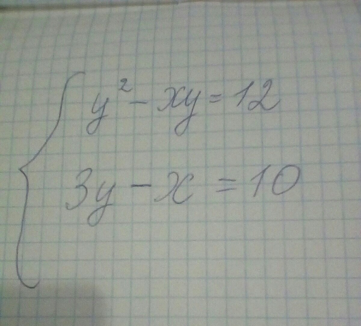
у²-ху=12

3у-х=10

1.Выражаем со второго х: 3у-10=х

2.Подставляем в первое: у²-(3у-10)у=12

у²-3у²+10у-12=0

-2у²+10у-12=0 ║:(-2)

у²-5у+6=0

у₁=2; у₂=3

3.Подставляем во второе:

Если у=2

3*2-х=10

х=6-10

х=-4

Если у=3

3*3-х=10

х=9-10

х=-1

Ответ: (-4;2) и (-1;3)

Вас заинтересует