Ответы
Ответ дал:
0
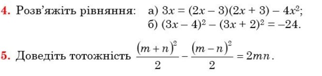
Задание 4 (а)
Раскроем скобки:
3x = 4x² + 6x - 6x - 9 - 4x²
3x = -9
x = -3
Задание 4 (б)
Раскроем квадраты разности:
9x² - 24x + 16 - (9x² + 12x + 4) = -24
9x² - 24x + 16 - 9x² - 12x - 4 = -24
-36x = -36
x = 1
Задание 5
Домножим обе части уравнения на 2:
(m + n)² - (m - n)² = 4mn
Раскроем квадрат суммы и разности:
m² + 2mn + n² - (m² - 2mn + n²) = 4mn
m² + 2mn + n² - m² + 2mn - n² = 4mn
4mn = 4mn
Что и требовалось доказать.
Ответ дал:
0
Обнови.
Ответ дал:
0
:з
Ответ дал:
0
а 5 точно все правильно? а то я уже сомневаюсь
Ответ дал:
0
Если у обоих сошлось то верно
Ответ дал:
0
Все, спасибо))))
Ответ дал:
0
н4
а)3х=(2х-3)(2х+3)-4х^2
3х=4х^2-9-4х^2
3х=-9
х=-3
б)(3х-4)^2-(3х+2)^2=-24
(3х-4-3х-2)(3х-4+3х+2)=-24
-6 (6х-2)=-24
6х-2=4
6х=6
х=1
5)Раскрываем скобки и домножаем на 2 всё уравнение :
(м^2+н^2+2мн)-(м^2+н^2-2мн)=4мн
4мн=4мн
если я правильно понял язык, то нужно доказать тождество, ведь так?
а)3х=(2х-3)(2х+3)-4х^2
3х=4х^2-9-4х^2
3х=-9
х=-3
б)(3х-4)^2-(3х+2)^2=-24
(3х-4-3х-2)(3х-4+3х+2)=-24
-6 (6х-2)=-24
6х-2=4
6х=6
х=1
5)Раскрываем скобки и домножаем на 2 всё уравнение :
(м^2+н^2+2мн)-(м^2+н^2-2мн)=4мн
4мн=4мн
если я правильно понял язык, то нужно доказать тождество, ведь так?
Ответ дал:
0
господи и кого мне слушать?
Ответ дал:
0
теперь все верно
Ответ дал:
0
у меня вирожение лица щас как у моей аватарки
Ответ дал:
0
Это из-за того что здесь можно исправлять
Ответ дал:
0
мдаа.. спасибо хоть за чо-то
Вас заинтересует
2 года назад
2 года назад
3 года назад
3 года назад
9 лет назад
10 лет назад