• Предмет: Математика
  • Автор: AlexN33
  • Вопрос задан 8 лет назад

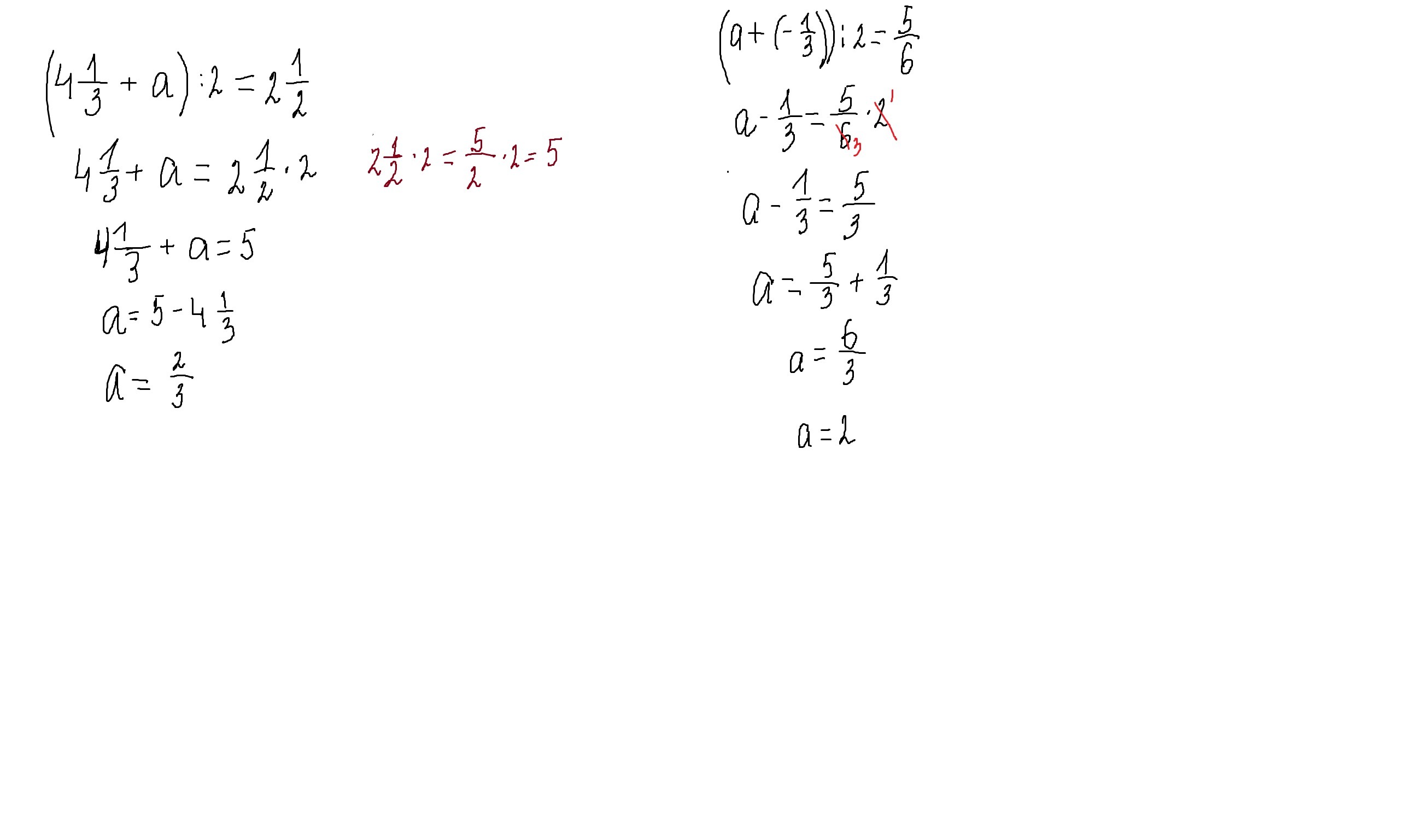
N616 a,b,помогите срочно

Приложения:

Ответы

Ответ дал: parus77
0

Ответ:

средним арифметическим нескольких чисел называется частное,получающееся при делении суммы этих чисел,на число слагаемых. например   2,4 и  9  найдем сумму и разделим на 3(число слагаемых)     (2+4+9):3=15:3=5  

в ваших примерах чисел -2,поэтому делим на 2

смотри  решение внизу

Приложения:
Вас заинтересует