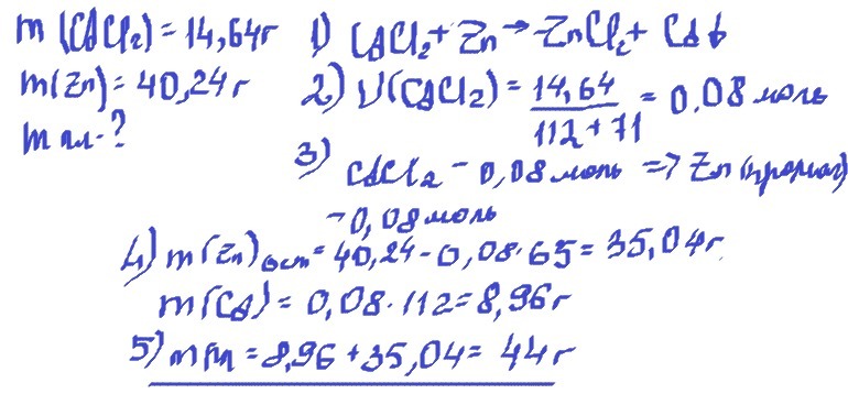
в раствор содержащий 14,64 г хлорида кадмия погрузили цинковую пластинку массой 40,24 г. определите массу пластинки после полного осаждения кадмия из раствора
Ответы
Ответ дал:
0
Решение в прикреплённом файле
Приложения:
Вас заинтересует
2 года назад
2 года назад
3 года назад
9 лет назад
9 лет назад
10 лет назад
10 лет назад