Ответы
Ответ дал:
0
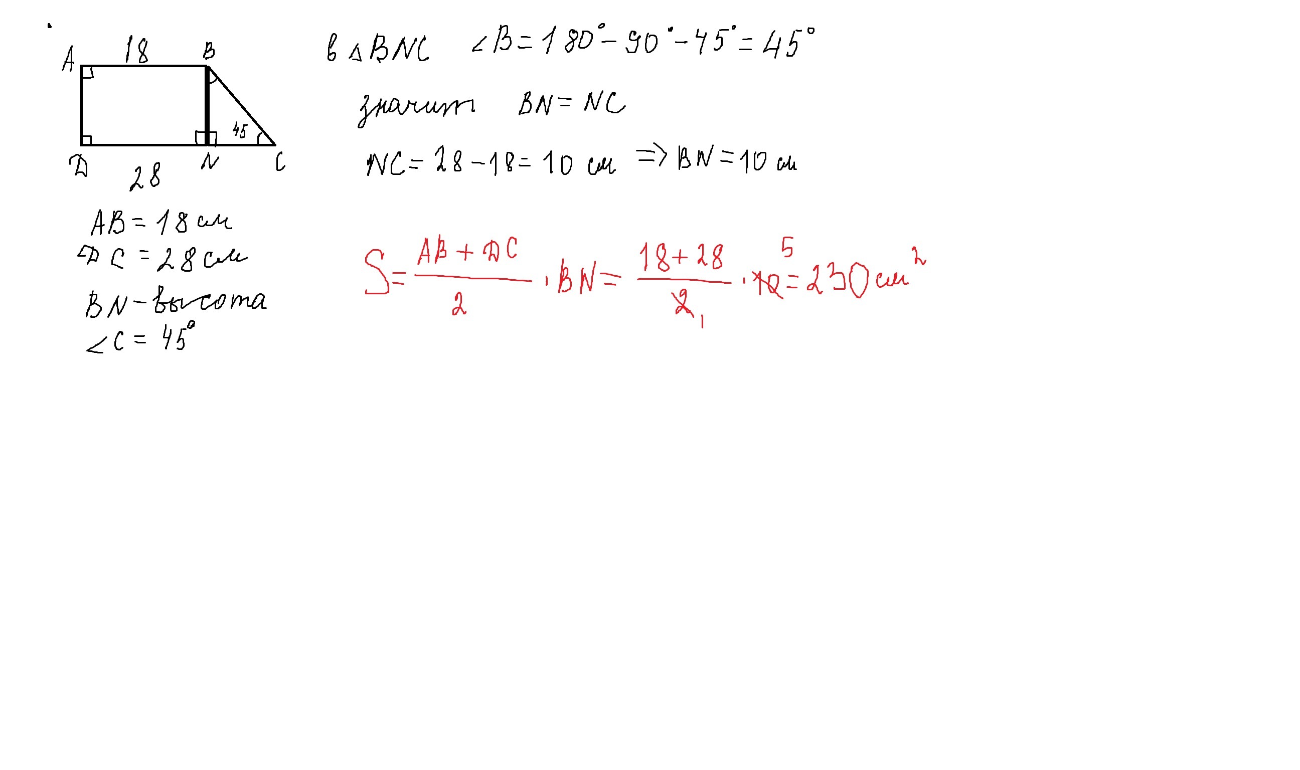
высота трапеции- 28-18=10
площадь трапеции- (18+28):2*10=230
площадь трапеции- (18+28):2*10=230
Ответ дал:
0
решение смотри внизу
проведем высоту ВN ,найдем ее и посчитаем площадь трапеции по формуле
Приложения:

Вас заинтересует
2 года назад
2 года назад
3 года назад
8 лет назад
8 лет назад