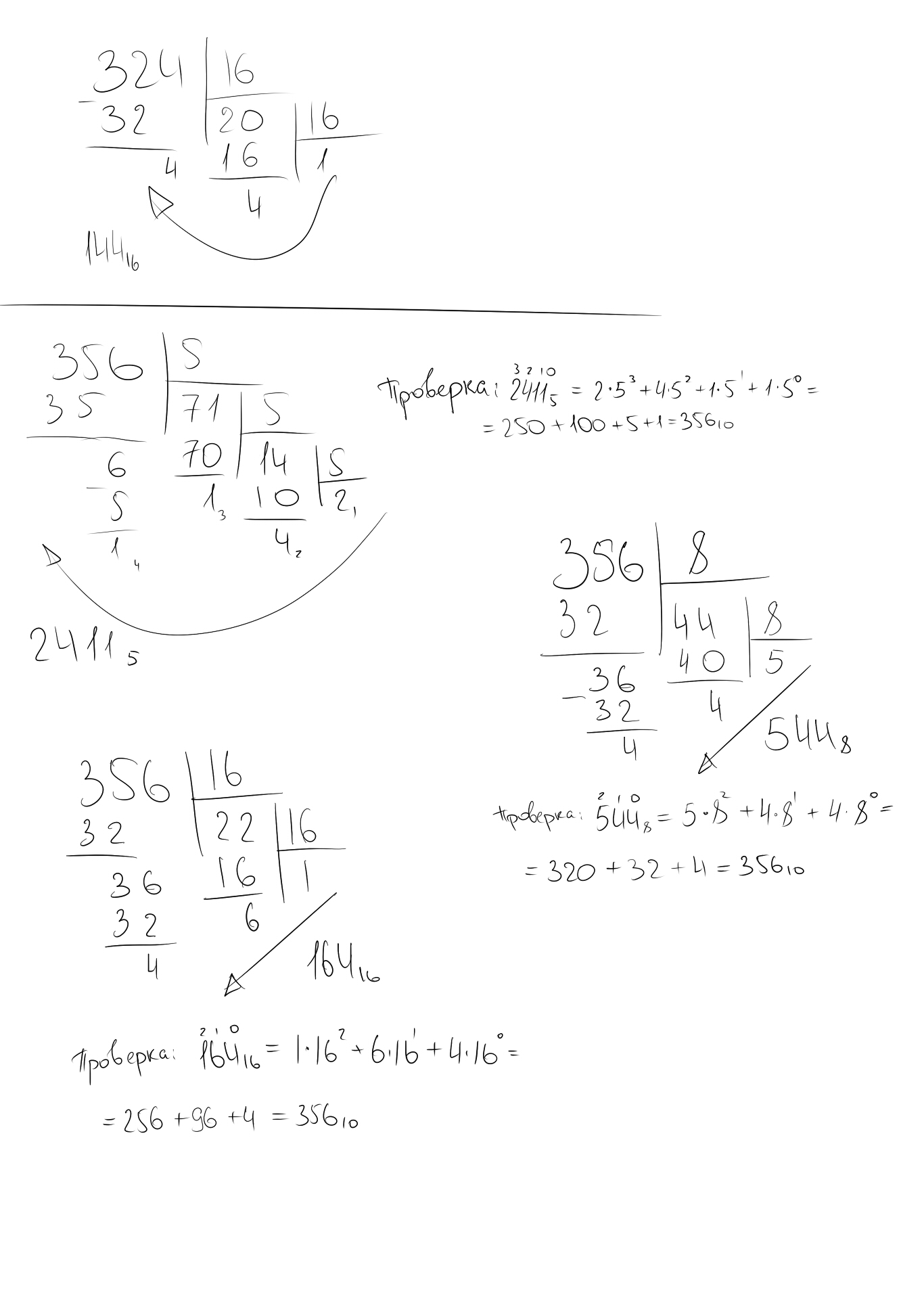
Число 324 в двуричную с.с 3 способами и в 16 ричную 1 способом число 356 в пятиручную восьми ричную и шеснадцатиричную
Приложения:

Ответы
Ответ дал:
0
####################
Приложения:



Вас заинтересует
2 года назад
2 года назад
3 года назад
8 лет назад
9 лет назад