ДАЮ 100 БАЛЛОВ!!!
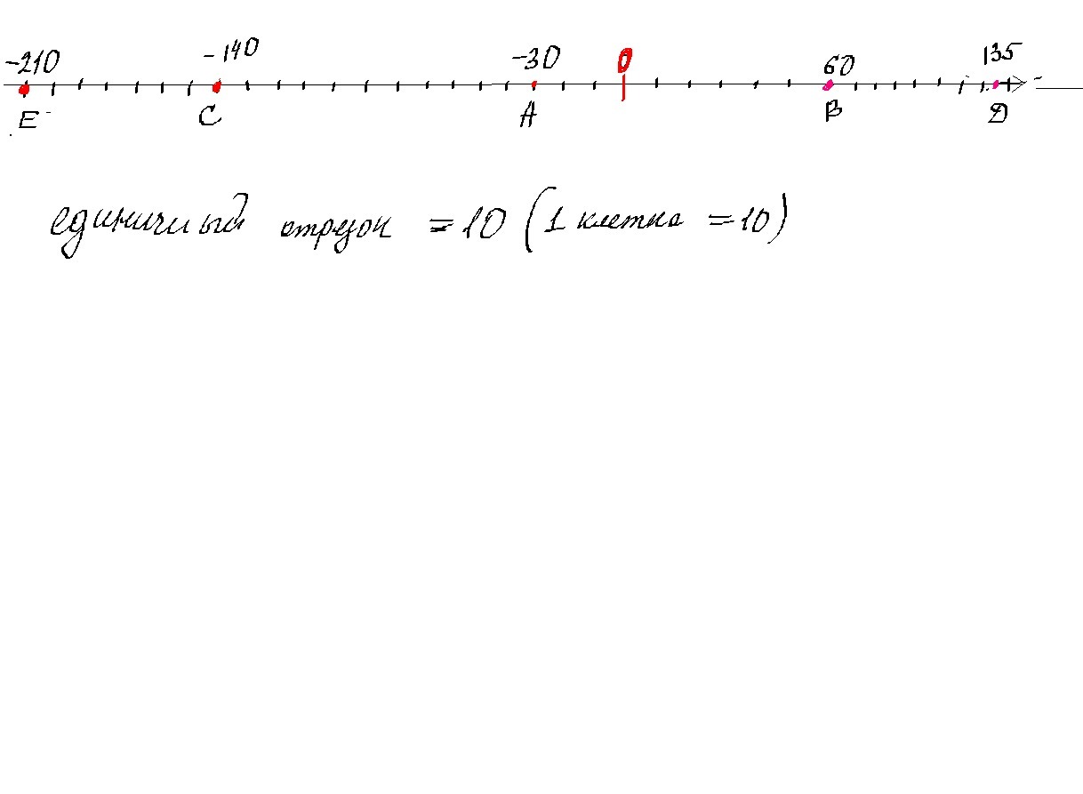
Выберите единичный отрезок и отметьте на координатной прямой следующие точки: А(-30), В(60), С(-140), D(135), E(-210).
Ответы
Ответ дал:
0
при условии, что A(-6) - это -6 единиц, а не клеток
2 клетки - 1 единица
на 20 клеток значит на 10 единиц
В=-6+10=4
С=(-6+4)/2=-1
D=-1-2.5=-3.5
E=-3.5+5=1.5
2 клетки - 1 единица
на 20 клеток значит на 10 единиц
В=-6+10=4
С=(-6+4)/2=-1
D=-1-2.5=-3.5
E=-3.5+5=1.5
Ответ дал:
0
Можно нарисовать?
Ответ дал:
0
Ответ:
Пошаговое объяснение:
Приложения:

Ответ дал:
0
Спасибо большое!
Ответ дал:
0
всег-да пожалуйста)
Ответ дал:
0
ой не туды
Вас заинтересует
3 года назад
3 года назад
8 лет назад
9 лет назад
9 лет назад