• Предмет: Алгебра
  • Автор: iSasha135
  • Вопрос задан 11 лет назад

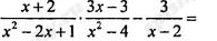
1.Представьте в виде дроби  1картинка)
2.Докажите тождество  2 картинка
Решите плиз! :3

Приложения:

Ответы

Ответ дал: Surbrut
0
х+2/(х+1)(х-2)*3(х-1)/(х-2)(х+2)-3/х-2=3(х-1)/(х+1)(х-2)-3/х-2=3(х-1)-3(х+1)/(х+1)(х-2)=х-1/х-2

2p-q/pq-1/p+q*2p/q=2p-q/pq-2p(p+q)*q/q(p+q)=2p-q/pq-2p=2p-q-2p^2q/pq=2p-q-2p=-q
Ответ дал: kris199305
0
второе задание не корректно. тождество это равенство, которое нужно докозать, а здесь нет знака равно.
Приложения:
Вас заинтересует