• Предмет: Математика
  • Автор: ziz6956
  • Вопрос задан 8 лет назад

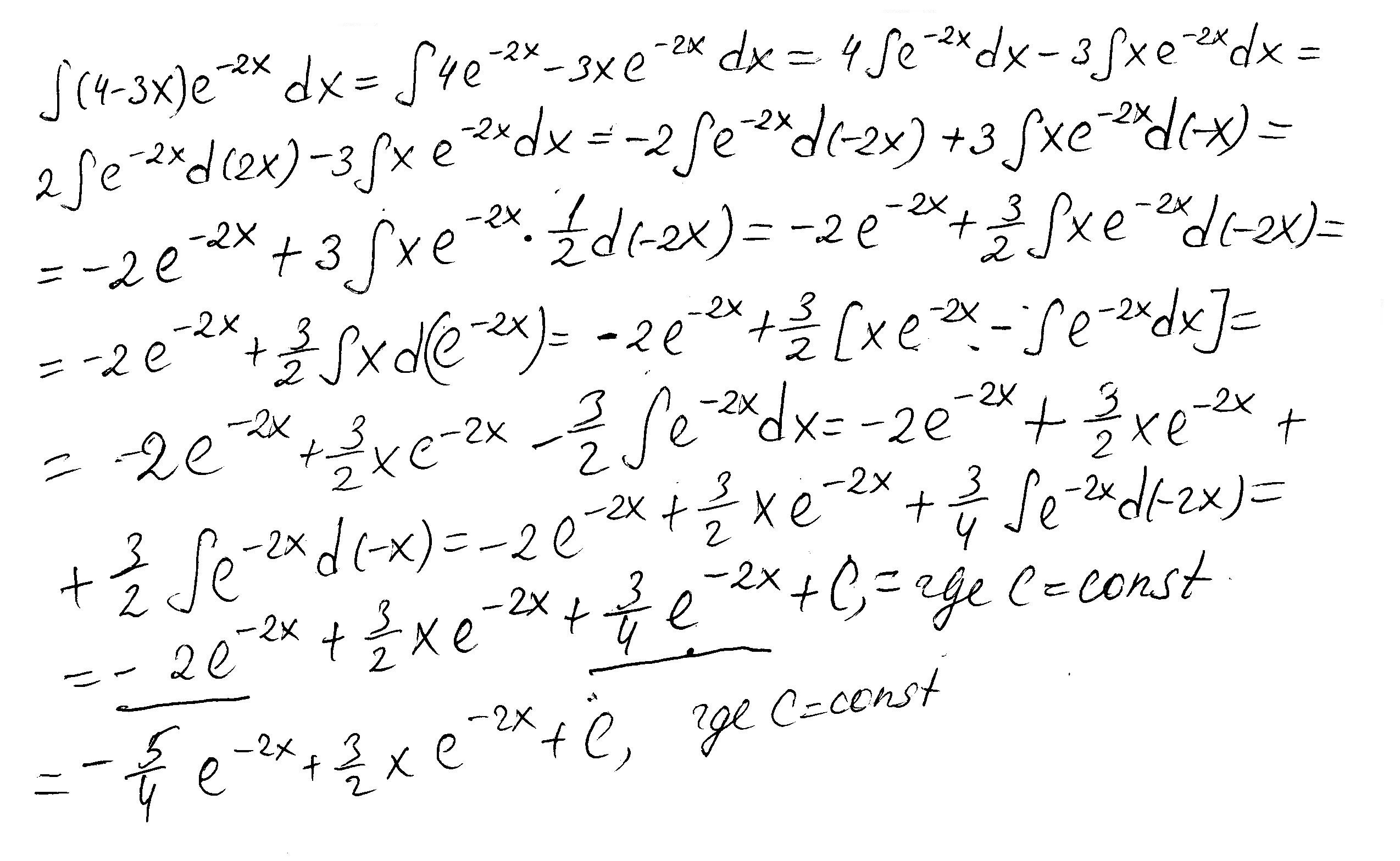
Помогите найти интеграл

Приложения:

Ответы

Ответ дал: bearcab
0

Ответ:

5) Ответ.

Пошаговое объяснение:

Решение в приложении

Приложения:
Вас заинтересует