• Предмет: Математика
  • Автор: ziz6956
  • Вопрос задан 8 лет назад

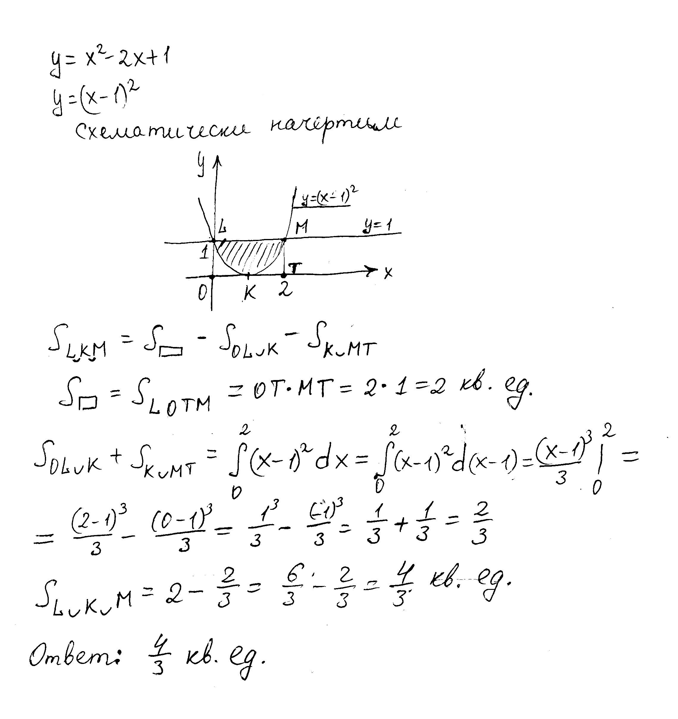
Найти площадь плоской фигуры

Приложения:

Ответы

Ответ дал: bearcab
0

Ответ:

frac{4}{3}

Пошаговое объяснение:

В приложении

Приложения:
Вас заинтересует