• Предмет: Математика
  • Автор: fialka43
  • Вопрос задан 8 лет назад

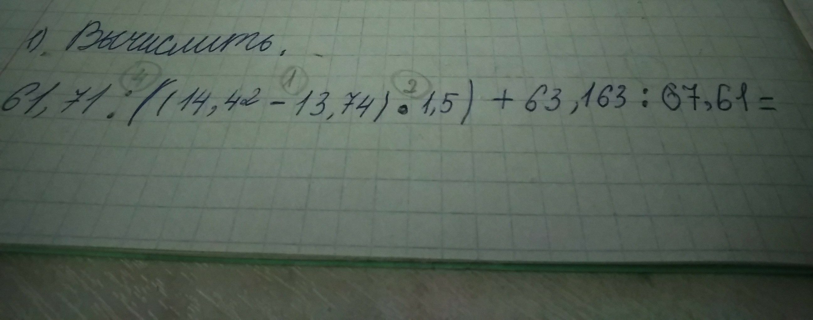
ПОМОГИТЕ ПОЖАЛУЙСТА СРОЧНО РЕШИТЬ ПРИМЕР С ДВОЙНЫМИ СКОБКАМИ ТАМ ГДЕ ((14,42 ЭТО 42 А НЕ ЧЕТЫРЕ ВО ВТОРОЙ СТЕПЕНИ!!!!

Приложения:

Ответы

Ответ дал: tatsach
0

Ответ:


Пошаговое объяснение:

14.42-13.74=0.68

0.68*1.5=1.02

61.71:1.02=60.5

63.163:7.61=8.3

60.5+8.3=68.8

Ответ дал: Аноним
0
............................................
Приложения:
Вас заинтересует