Ответы
Ответ дал:
0
решение на фотографии
Приложения:

Ответ дал:
0
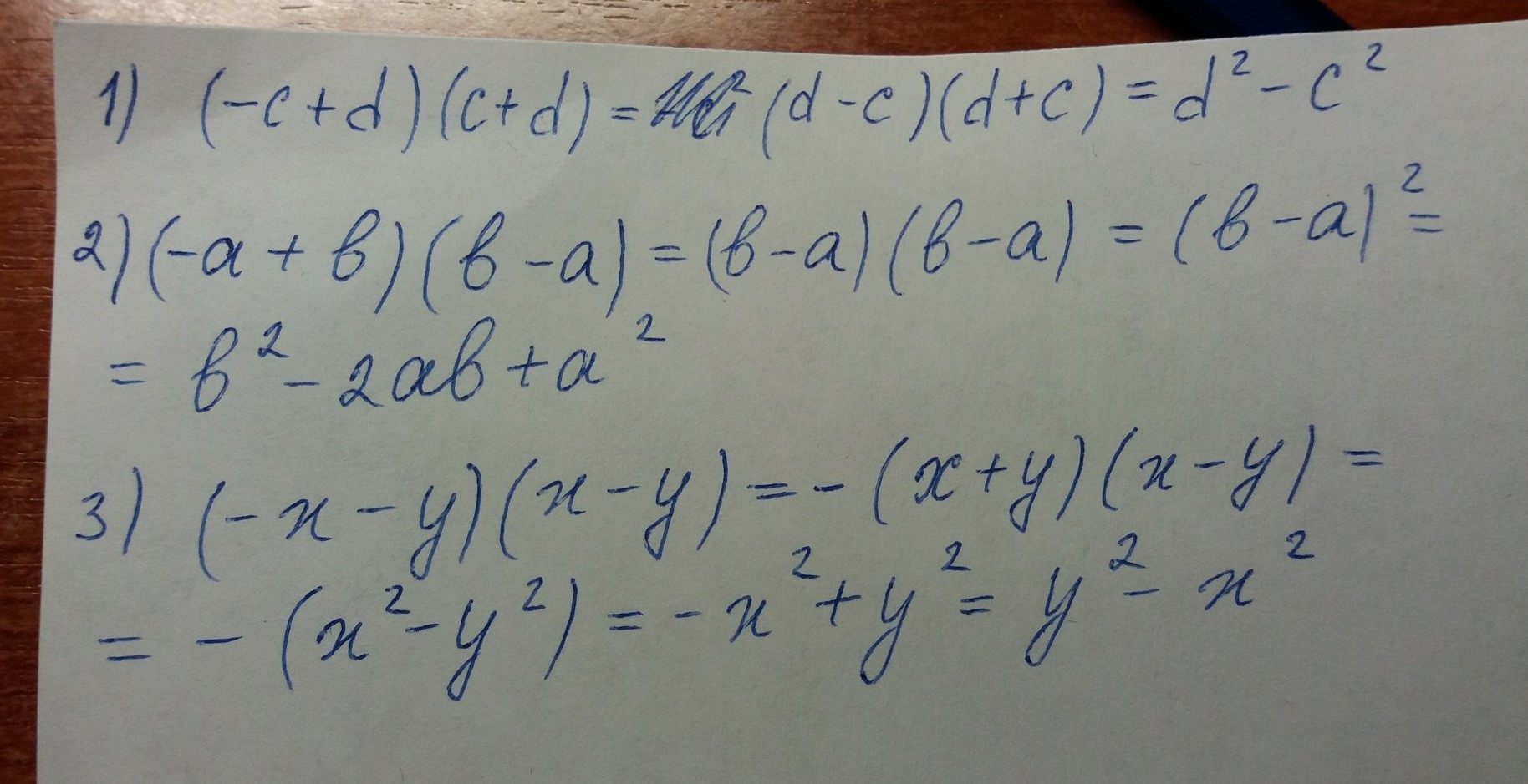
1(-c+d)(c+d)=
=(d-c)(d+c)=
=d²-c²
2(-a+b)(b-a)=
=(b-a)²=
=b²-2ab+a
3(-x-y)(x-y)=
=(-y)²-x²
=y²-x²
Приложения:

Вас заинтересует
2 года назад
2 года назад
3 года назад
3 года назад
8 лет назад
8 лет назад
9 лет назад
9 лет назад