• Предмет: Алгебра
  • Автор: nicesevkabr
  • Вопрос задан 8 лет назад

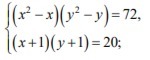
Помогите решить систему уравнений!

Приложения:

Ответы

Ответ дал: maksimcat
0

Ответ на фото///////////////////

Приложения:
Вас заинтересует