• Предмет: Алгебра
  • Автор: malikovanikole
  • Вопрос задан 8 лет назад

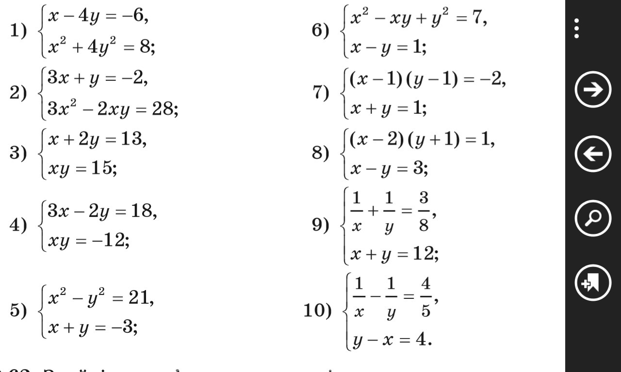
Номера 5, 6, 7, 8. Ответьте хотя бы на 5 и 6

Приложения:

Ответы

Ответ дал: NNNLLL54
0

5); ; left { {{x^2-y^2=21} atop {x+y=-3}} right. ; left { {{(x-y)(x+y)=21} atop {x+y=-3}} right. ; left { {{-3cdot (x-y)=21} atop {x+y=-3}} right. ; left { {{x-y=-7} atop {x+y=-3}} right. ; oplus ; ominus \\left { {{2x=-10} atop {2y=4}} right. ; left { {{x=-5} atop {y=2}} right. ; ; Rightarrow ; ; ; (-5,2)

6); ; left { {{x^2-xy+y^2=7} atop {x-y=1}} right. ; left { {{(x^2-2xy+y^2)+xy=7} atop {(x-y)^2=1}} right. ; left { {{(x-y)^2+xy=7} atop {(x-y)^2=1}} right. ; left { {{1+xy=7} atop {x-y=1}} right. \\left { {{xy=6} atop {x-y=1}} right. ; left { {{(y+1)y=6} atop {x=y+1}} right. ; left { {{y^2+y-6=0} atop {x=y+1}} right. ; left { {{y_1=-3; ,; y_2=2} atop {x_1=-2; ,; x_2=3}} right. ; ; Rightarrow ; ; (-2,-3); ,; (3,2)

7); ; left { {{(x-1)(y-1)=-2} atop {x+y=1}} right. ; left { {{xy-x-y+1=-2} atop {x+y=1}} right. ; left { {{xy-(x+y)=-3} atop {x+y=1}} right. \\left { {{xy-1=-3} atop {x+y=1}} right. ; left { {{xy=-2} atop {x=1-y}} right. ; left { {{(1-y)y=-2} atop {x=1-y}} right. ; left { {{y^2-y-2=0} atop {x=1-y}} right. ; left { {{y_1=-1; ,; y_2=2} atop {x_1=2; ,; x_2=-1}} right. ; ; Rightarrow \\(2,-1); ,; ; (-1,2)

Ответ дал: malikovanikole
0
Блин, я нечаянно
Ответ дал: malikovanikole
0
Простите
Ответ дал: NNNLLL54
0
"спасибо" нажми
Ответ дал: malikovanikole
0
У меня нет такой кнопки
Ответ дал: malikovanikole
0
Мда... Нашла
Вас заинтересует